Free Access

Fig. 1

thumbnail

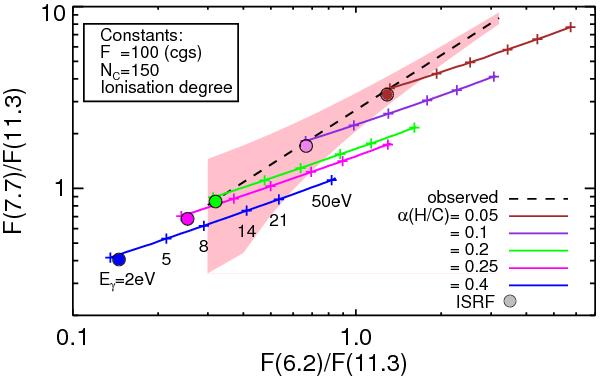
Strength of the CC stretching modes at 6.2 and 7.7 μm relative to the CH out-of-plane bending mode at 11.3 μm. Observed variations (shaded) and mean values (dashed) by Galliano et al. (2008). Full lines at various colors represent band ratios of PAHs with different hydrogenation, α (H/C), and excited by mono-energetic radiation with different hardness (Eγ, as labeled) and constant strength (flux, F). Band ratios derived from PAHs heated by the ISRF are indicated by filled circles and same color index of α. Beside other parameters the degree of ionisation is constant.

Current usage metrics show cumulative count of Article Views (full-text article views including HTML views, PDF and ePub downloads, according to the available data) and Abstracts Views on Vision4Press platform.

Data correspond to usage on the plateform after 2015. The current usage metrics is available 48-96 hours after online publication and is updated daily on week days.

Initial download of the metrics may take a while.