Free Access

Fig. 11

thumbnail

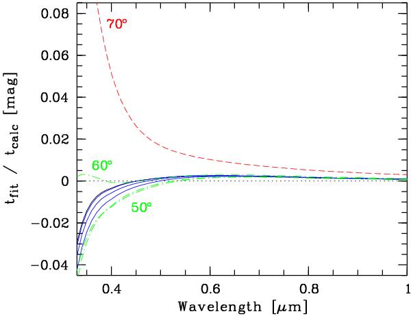
Ratio of the airglow transmissions of the fits as shown in Fig. 10 and the full scattering calculations in magnitudes. The wavelength-dependent results for line-of-sight zenith distances from 0° (black solid line) to 70° (red dashed line) in 10° steps are exhibited.

Current usage metrics show cumulative count of Article Views (full-text article views including HTML views, PDF and ePub downloads, according to the available data) and Abstracts Views on Vision4Press platform.

Data correspond to usage on the plateform after 2015. The current usage metrics is available 48-96 hours after online publication and is updated daily on week days.

Initial download of the metrics may take a while.