Free Access

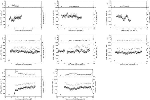
Fig. 1

thumbnail

a) 0.6–10 keV EPIC pn (dots) and 0.6–1.8 keV RGS (squares) background-subtracted light curves for each GX 13 + 1 observation with a binning of 64 s. The left (right) axes show the scale for EPIC pn (RGS). b) Hardness ratio (counts in the 2–10 keV band divided by those between 0.6–2 keV) for the EPIC pn light curves.

Current usage metrics show cumulative count of Article Views (full-text article views including HTML views, PDF and ePub downloads, according to the available data) and Abstracts Views on Vision4Press platform.

Data correspond to usage on the plateform after 2015. The current usage metrics is available 48-96 hours after online publication and is updated daily on week days.

Initial download of the metrics may take a while.