Free Access

Fig. 9

thumbnail

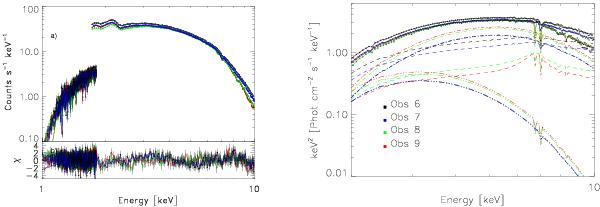
Left: a) 1.7–10 keV EPIC pn, and 0.8–1.8 keV RGS1 and RGS2 GX 13 + 1 spectra fitted with Model 5 (see text). b) Residuals in units of standard deviation from the above model. Right: 1–10 keV unfolded spectra. Solid, dot-dot-dashed and dot-dashed and dashed lines represent the contribution of the total model, disc, blackbody and reflection components, respectively. Obs 6–9 are shown in black, blue, green, and red, respectively.

This figure is made of several images, please see below:

Current usage metrics show cumulative count of Article Views (full-text article views including HTML views, PDF and ePub downloads, according to the available data) and Abstracts Views on Vision4Press platform.

Data correspond to usage on the plateform after 2015. The current usage metrics is available 48-96 hours after online publication and is updated daily on week days.

Initial download of the metrics may take a while.