Free Access

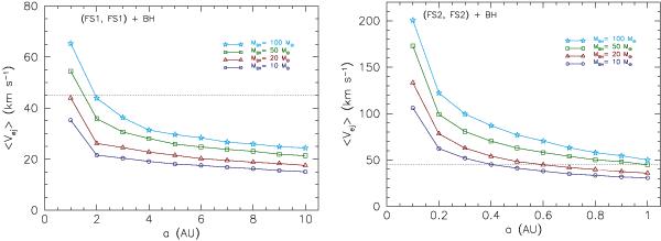
Fig. 12

thumbnail

Average ejection velocity in runs B1 (left) and B2 (right) as a function of the initial binary semi-major axis. Different lines refer to different values of the BH mass, MBH = 10, 20, 50, 100   M, respectively, from bottom to top. Dotted lines indicate the required ejection velocity of 45   km   s-1.

This figure is made of several images, please see below:

Current usage metrics show cumulative count of Article Views (full-text article views including HTML views, PDF and ePub downloads, according to the available data) and Abstracts Views on Vision4Press platform.

Data correspond to usage on the plateform after 2015. The current usage metrics is available 48-96 hours after online publication and is updated daily on week days.

Initial download of the metrics may take a while.