Free Access

Fig. 13

thumbnail

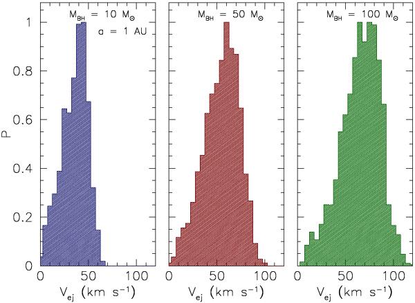
Distribution of ejection velocities in encounters between a binary of giant stars and a black hole (case B1). The three panels refer to BHs of different mass: 10,50,100   M, from left to right. The binary separation is set to 1   AU.

Current usage metrics show cumulative count of Article Views (full-text article views including HTML views, PDF and ePub downloads, according to the available data) and Abstracts Views on Vision4Press platform.

Data correspond to usage on the plateform after 2015. The current usage metrics is available 48-96 hours after online publication and is updated daily on week days.

Initial download of the metrics may take a while.