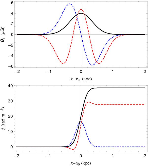
Fig. 1

Several typical examples of a region with and without reversals of the regular magnetic field: the solid black line shows the Gaussian magnetic field distribution, the dot-dashed blue line stands for one reversal and the dashed red line shows the distribution with two reversals. Top: magnetic field profile B(x) along the line of sight. Bottom: Faraday depth distribution φ(x) along the line of sight.
Current usage metrics show cumulative count of Article Views (full-text article views including HTML views, PDF and ePub downloads, according to the available data) and Abstracts Views on Vision4Press platform.
Data correspond to usage on the plateform after 2015. The current usage metrics is available 48-96 hours after online publication and is updated daily on week days.
Initial download of the metrics may take a while.