Free Access

Fig. 2

thumbnail

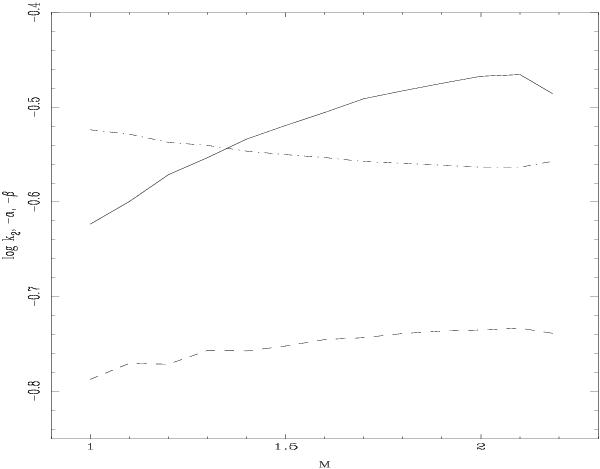
Internal structure constants for neutron star models as a function of mass. Continuous line represents log k2, dashed line denotes (–α) and dotted-dashed line represents (–β).

Current usage metrics show cumulative count of Article Views (full-text article views including HTML views, PDF and ePub downloads, according to the available data) and Abstracts Views on Vision4Press platform.

Data correspond to usage on the plateform after 2015. The current usage metrics is available 48-96 hours after online publication and is updated daily on week days.

Initial download of the metrics may take a while.