Free Access

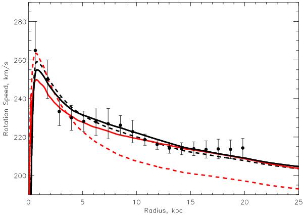
Fig. 5

thumbnail

Here we show the rotation curves of four fits to the measured rotation curve of NGC 7814 (data points from FSK11). The black lines use our parameterisation of the galaxy and the red lines use that of FSK11. The bulge and disk mass-to-light ratios are (0.66, 0.7), (0.685, 0.3), (0.66, 2.7) and (0.75, 0.7) for the linetypes black solid, black dashed, red solid and red dashed respectively.

Current usage metrics show cumulative count of Article Views (full-text article views including HTML views, PDF and ePub downloads, according to the available data) and Abstracts Views on Vision4Press platform.

Data correspond to usage on the plateform after 2015. The current usage metrics is available 48-96 hours after online publication and is updated daily on week days.

Initial download of the metrics may take a while.