Fig. 7

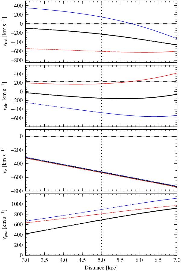
Same as Fig. 6 for PSR J1825−1446. The solid black line in each panel indicates the Galactic velocity assuming a radial velocity of 0 km s-1. The velocity uncertainties at 3-σ level are smaller than the black lines. The red thin line corresponds to an hypothetical radial velocity from the Sun of +500 km s-1 (away from the Sun) and the blue thin line to −500 km s-1 (towards the Sun).
Current usage metrics show cumulative count of Article Views (full-text article views including HTML views, PDF and ePub downloads, according to the available data) and Abstracts Views on Vision4Press platform.
Data correspond to usage on the plateform after 2015. The current usage metrics is available 48-96 hours after online publication and is updated daily on week days.
Initial download of the metrics may take a while.