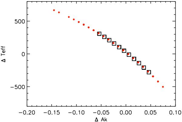
Fig. 9

The effect of differential reddening towards the Bulge for the determination of photometric effective temperatures. We plot the variations in the AKs values for a set of 200 random positions in a 30′ region towards b = −4° (black squares) and b = −2° (red circles), as obtained from the BEAM calculator, and compare them to variations in the photometric effective temperature.
Current usage metrics show cumulative count of Article Views (full-text article views including HTML views, PDF and ePub downloads, according to the available data) and Abstracts Views on Vision4Press platform.
Data correspond to usage on the plateform after 2015. The current usage metrics is available 48-96 hours after online publication and is updated daily on week days.
Initial download of the metrics may take a while.