Free Access
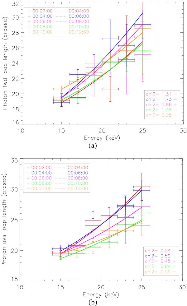
Fig. 4

Flare loop lengths for each 2-keV photon energy bin, for five different time intervals throughout the flare impulsive phase. a) Results from forward-fit algorithm; b) Results from uv-smooth method. The solid curves represent the fits of the model described in Eq. (9). The χ2 of the fittings are also shown.
This figure is made of several images, please see below:
Current usage metrics show cumulative count of Article Views (full-text article views including HTML views, PDF and ePub downloads, according to the available data) and Abstracts Views on Vision4Press platform.
Data correspond to usage on the plateform after 2015. The current usage metrics is available 48-96 hours after online publication and is updated daily on week days.
Initial download of the metrics may take a while.