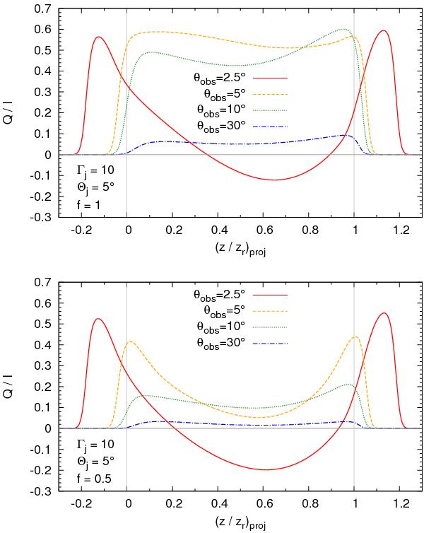
Fig. 2

Profiles of the polarization degree along the projected jet axis calculated for different viewing angles θobs in two cases: a pure toroidal magnetic field (upper panel; same as models shown in Fig. 1) and an even mix of toroidal and compressed magnetic fields (lower panel). Projected coordinate (z/zr)proj equals 0 for the jet origin and 1 for the reconfinement point.
Current usage metrics show cumulative count of Article Views (full-text article views including HTML views, PDF and ePub downloads, according to the available data) and Abstracts Views on Vision4Press platform.
Data correspond to usage on the plateform after 2015. The current usage metrics is available 48-96 hours after online publication and is updated daily on week days.
Initial download of the metrics may take a while.