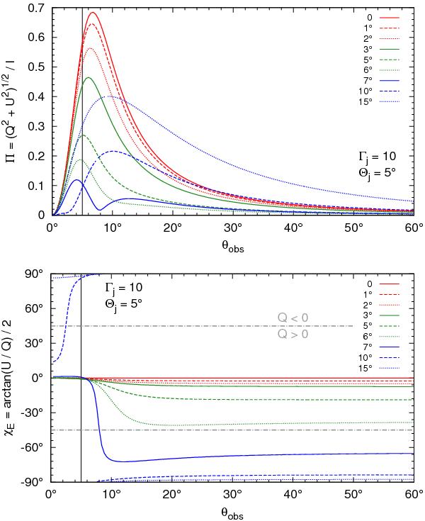
Fig. 6

Average polarization degree (upper panel) and polarization angle (lower panel) as a function of the viewing angle, calculated for a helical magnetic field with different values of the minimum pitch angle αB,m, indicated in the legend. The shock structure is the same as in the models shown in Figs. 4 and 5. Solid vertical line indicates the jet opening angle Θj = 5°.
Current usage metrics show cumulative count of Article Views (full-text article views including HTML views, PDF and ePub downloads, according to the available data) and Abstracts Views on Vision4Press platform.
Data correspond to usage on the plateform after 2015. The current usage metrics is available 48-96 hours after online publication and is updated daily on week days.
Initial download of the metrics may take a while.