Free Access

Fig. 1

thumbnail

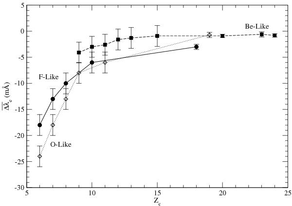
Average wavelength differences between HFR and experiment (in mÅ), , for K lines of ions belonging to three isoelectronic sequences as function of the effective charge, Zc = Z − N + 1. Full squares: Be-like sequence (N = 4); open diamonds: O-like sequence (N = 8); full circles: F-like sequence (N = 9). Experimental data for ions with Zc ≤ 15 are taken from the laser-produced plasma (Faenov et al. 1994) and plasma focus discharge in argon (Biémont et al. 2000) experiments. EBIT measurements (Beiersdorfer et al. 1991; Smith et al. 1995; Decaux et al. 1997) are considered for ions with Zc > 15. Experimental error bars are included.

Current usage metrics show cumulative count of Article Views (full-text article views including HTML views, PDF and ePub downloads, according to the available data) and Abstracts Views on Vision4Press platform.

Data correspond to usage on the plateform after 2015. The current usage metrics is available 48-96 hours after online publication and is updated daily on week days.

Initial download of the metrics may take a while.