Free Access

Fig. 2

thumbnail

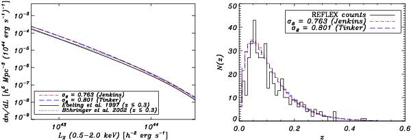
Consistency checks of the cluster model. Left: local predicted XLF for the two mass functions (along with fitted σ8 values), compared to observations by Ebeling et al. (1997) and Böhringer et al. (2002). Right: same as Fig. 1, but for the REFLEX survey (Böhringer et al. 2004). One should note that the model predictions correspond to a 100% complete survey, while the actual survey is said to be at least 90% complete.

This figure is made of several images, please see below:

Current usage metrics show cumulative count of Article Views (full-text article views including HTML views, PDF and ePub downloads, according to the available data) and Abstracts Views on Vision4Press platform.

Data correspond to usage on the plateform after 2015. The current usage metrics is available 48-96 hours after online publication and is updated daily on week days.

Initial download of the metrics may take a while.