Free Access

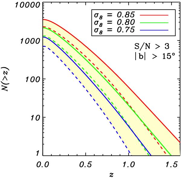
Fig. 3

thumbnail

Predicted cumulative redshift distribution of the EPCC for a nominal mission length (14 months) and threshold S/N > 3. The beige band illustrates modeling uncertainty due to σ8 and the choice of the mass function. The solid lines are derived using the Jenkins et al. (2001) mass function while the dashed lines correspond to the Tinker et al. (2008) mass function.

Current usage metrics show cumulative count of Article Views (full-text article views including HTML views, PDF and ePub downloads, according to the available data) and Abstracts Views on Vision4Press platform.

Data correspond to usage on the plateform after 2015. The current usage metrics is available 48-96 hours after online publication and is updated daily on week days.

Initial download of the metrics may take a while.