Free Access

Fig. 4

thumbnail

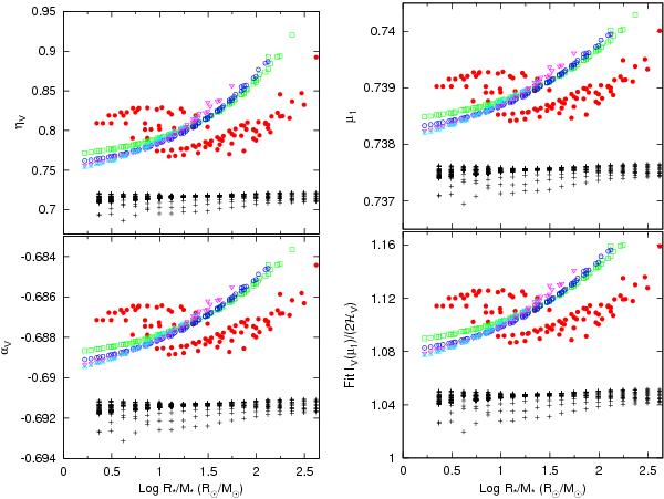
(Left) Values of the pseudo-moment ηV and variable αV as a function of atmospheric extension for spherical atmospheres, R/M in solar units. (Right) The top panel shows the value of the primary fixed point, μ1, for the linear-plus-square-root parametrization, also plotted as a function of the extension of the spherical atmosphere. The bottom panel shows the dependence of the normalized V-band intensity of the fixed point on the atmospheric extension. The symbols have the same meaning as in Fig. 2. When comparing to Fig. 2, note that increasing extension corresponds to decreasing log g.

This figure is made of several images, please see below:

Current usage metrics show cumulative count of Article Views (full-text article views including HTML views, PDF and ePub downloads, according to the available data) and Abstracts Views on Vision4Press platform.

Data correspond to usage on the plateform after 2015. The current usage metrics is available 48-96 hours after online publication and is updated daily on week days.

Initial download of the metrics may take a while.