Free Access

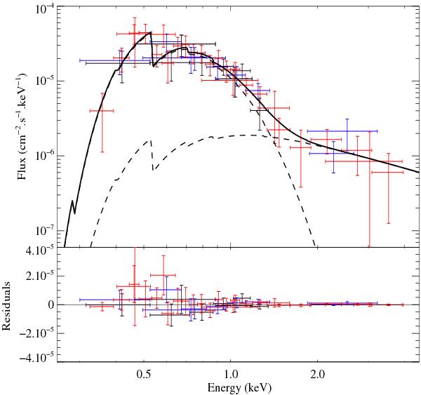
Fig. 5

thumbnail

MOS1, MOS2 and pn (black, blue and red crosses, respectively, in the online colour version) X-ray spectrum of J1614−2230 fitted with a blackbody and a power law model (black solid line).

Current usage metrics show cumulative count of Article Views (full-text article views including HTML views, PDF and ePub downloads, according to the available data) and Abstracts Views on Vision4Press platform.

Data correspond to usage on the plateform after 2015. The current usage metrics is available 48-96 hours after online publication and is updated daily on week days.

Initial download of the metrics may take a while.