Free Access
Erratum
This article is an erratum for:
[https://doi.org/10.1051/0004-6361/201118013]


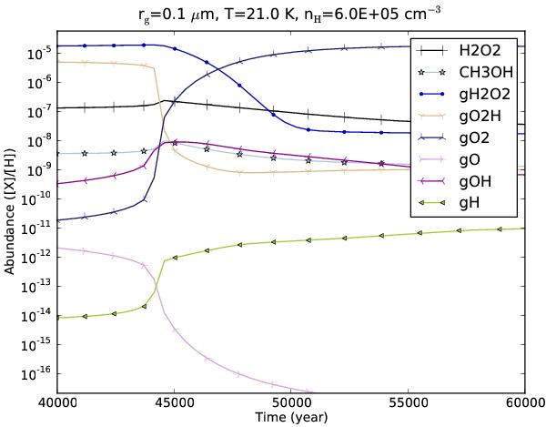
Fig. 3

thumbnail

Corrected version of Fig. A.1 in Du et al. (2012). This is just a zoom-in plot for Fig. 1 (with several species removed and several added) to show the details of the spike-like or jump-like features in the evolution curves.

Current usage metrics show cumulative count of Article Views (full-text article views including HTML views, PDF and ePub downloads, according to the available data) and Abstracts Views on Vision4Press platform.

Data correspond to usage on the plateform after 2015. The current usage metrics is available 48-96 hours after online publication and is updated daily on week days.

Initial download of the metrics may take a while.