Free Access

Fig. 5

thumbnail

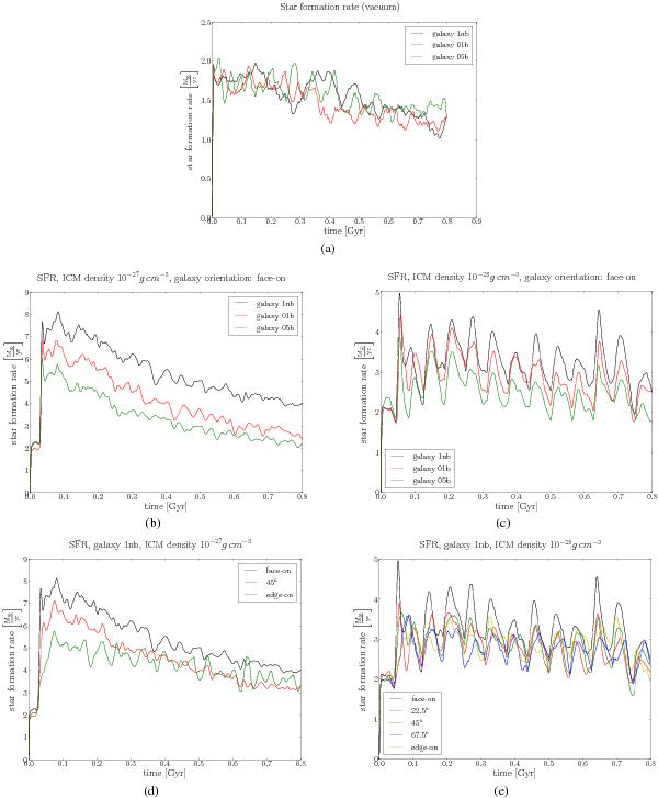
Evolving star formation rates during the simulations. In a) the star formation rates of the three model galaxies evolving in vacuum are shown, which are at about 1.5   M   yr-1 for all galaxies. In b) and c) the star formation rates of the galaxies undergoing ram-pressure stripping are plotted, with an ICM density of b) 10-28   g   cm-3 and c) 10-27   g   cm-3. Already with a low ram pressure, the star formation is enhanced by a factor of two while with a high ram pressure the enhancement can reach a factor of 4 after the first interaction of the galaxies with the ICM. Clearly, a bulge suppresses the star formation rate. In d) and e) the star formation rate of model galaxy “1nb” undergoing ram-pressure stripping, flying with different inclination angles with respect to the ICM is shown. The star formation is suppressed if the galaxy is flying edge-on in case of high ram pressure. When a low ram pressure is acting on the galaxies, the inclination angle has almost no influence, the star formation rate is not affected.

This figure is made of several images, please see below:

Current usage metrics show cumulative count of Article Views (full-text article views including HTML views, PDF and ePub downloads, according to the available data) and Abstracts Views on Vision4Press platform.

Data correspond to usage on the plateform after 2015. The current usage metrics is available 48-96 hours after online publication and is updated daily on week days.

Initial download of the metrics may take a while.