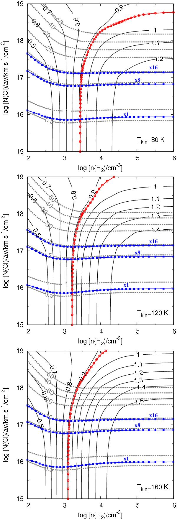
Fig. 2

Comparison between the observations and the predictions from the radiative transfer model for the [C i] /[C i]
line ratio (black-solid lines) and the [C i]
absolute intensity (gray-dashed lines) for kinetic temperatures of 80, 120, and 160 K. The observed [C i]
/[C i]
line ratio of 0.92 is shown as a red line with circles. The observed [C i]
line intensity of 0.58 K and its value scaled by a beam filling factor of 1/8 and 1/16 are shown as blue lines with boxes.
Current usage metrics show cumulative count of Article Views (full-text article views including HTML views, PDF and ePub downloads, according to the available data) and Abstracts Views on Vision4Press platform.
Data correspond to usage on the plateform after 2015. The current usage metrics is available 48-96 hours after online publication and is updated daily on week days.
Initial download of the metrics may take a while.