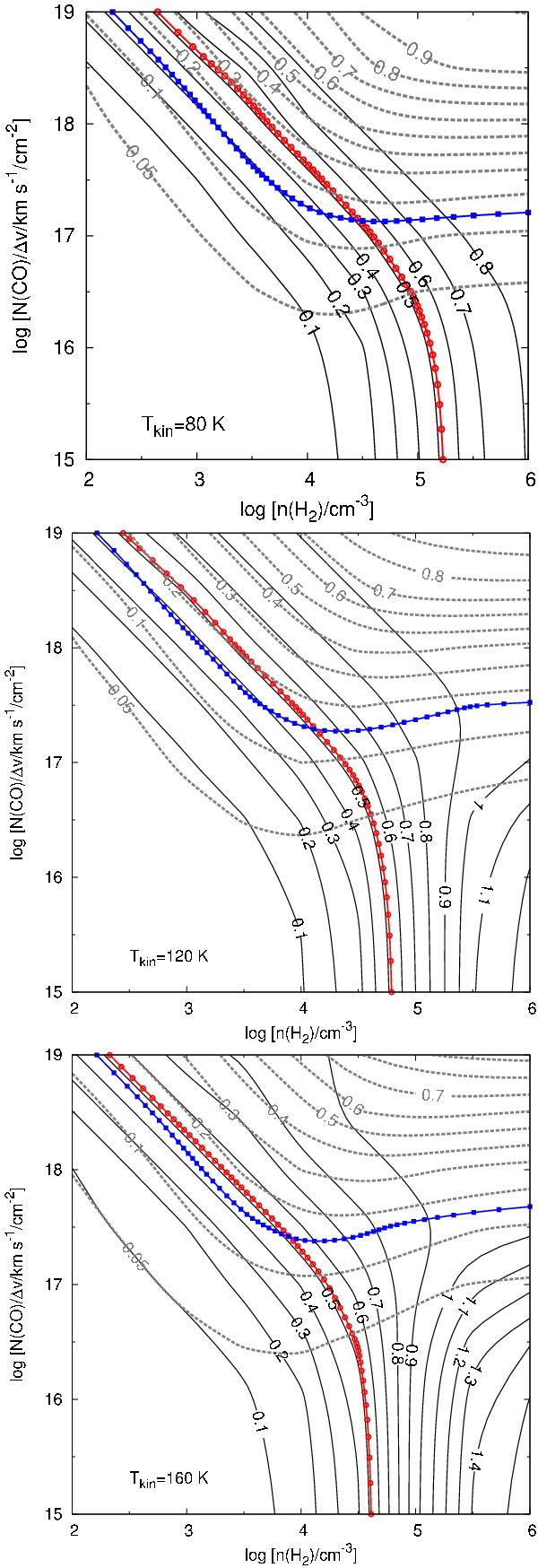
Fig. 3

Comparison between the observations and the predictions from the radiative transfer model for the 12CO J = 7 → 6 to J = 4 → 3 (black-solid contours) and 13CO to 12CO J = 4 → 3 (gray-dashed contours) line ratios for kinetic temperatures of 80, 120, and 160 K. The plots assume a fractional abundance of 12CO/13CO of 35. The observed 12CO J = 7 → 6 to J = 4 → 3 ratio of 0.52 is shown as a blue line with boxes while the 13CO to 12CO J = 4 → 3 ratio of 0.15 is shown as a red line with circles.
Current usage metrics show cumulative count of Article Views (full-text article views including HTML views, PDF and ePub downloads, according to the available data) and Abstracts Views on Vision4Press platform.
Data correspond to usage on the plateform after 2015. The current usage metrics is available 48-96 hours after online publication and is updated daily on week days.
Initial download of the metrics may take a while.