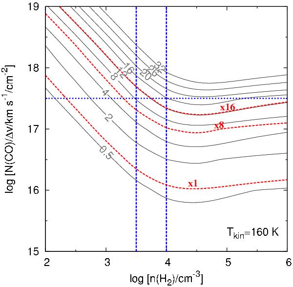
Fig. 4

Radiative transfer predictions and the observed absolute intensity of 13CO J = 4 → 3 for Tkin = 160 K. The three red-dashed contours show the observed intensity and its value scaled up by factors of 8 and 16, respectively. The blue-dashed lines show the range of column and volume densities constrained by the analysis of the CO line ratios. The absolute intensity of 13CO J = 4 → 3 needs to be scaled up by a factor of about 16 to reproduce the constrained column and volume densities.
Current usage metrics show cumulative count of Article Views (full-text article views including HTML views, PDF and ePub downloads, according to the available data) and Abstracts Views on Vision4Press platform.
Data correspond to usage on the plateform after 2015. The current usage metrics is available 48-96 hours after online publication and is updated daily on week days.
Initial download of the metrics may take a while.