Free Access

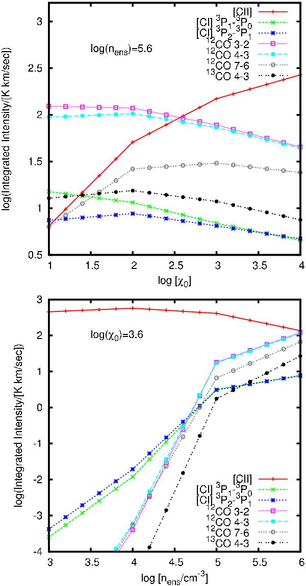
Fig. 7

thumbnail

Model-predicted integrated intensities the spectral lines used to constrain the PDR model as a function of χ0 for a fixed value of nens (upper panel) and of nens for a fixed value of χ0 (lower panel).

Current usage metrics show cumulative count of Article Views (full-text article views including HTML views, PDF and ePub downloads, according to the available data) and Abstracts Views on Vision4Press platform.

Data correspond to usage on the plateform after 2015. The current usage metrics is available 48-96 hours after online publication and is updated daily on week days.

Initial download of the metrics may take a while.