Free Access

Fig. 6

thumbnail

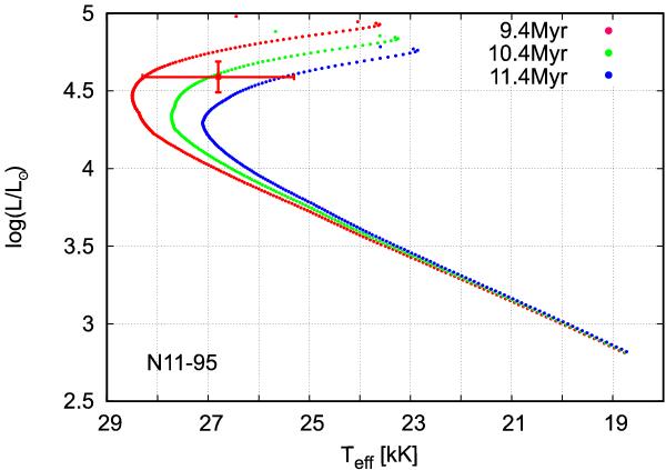
Isochrone fitting in the HR diagram for the LMC star N 11-95, which is indicated by the red point with error bars. The red, green and blue lines are isochrones from non rotating stellar models for different ages. The green line defines the most likely age of the star while red and blue represent maximum and minimum possible current age when considering uncertainties in measured effective temperature and luminosity of the star.

Current usage metrics show cumulative count of Article Views (full-text article views including HTML views, PDF and ePub downloads, according to the available data) and Abstracts Views on Vision4Press platform.

Data correspond to usage on the plateform after 2015. The current usage metrics is available 48-96 hours after online publication and is updated daily on week days.

Initial download of the metrics may take a while.