Free Access

Fig. 4

thumbnail

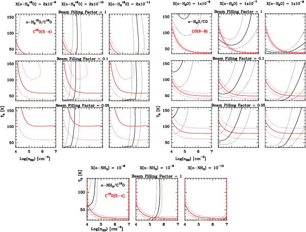
Upper left: 1D modeling of the intensity of C18O(5−4) (red solid line) and of the ratio o-HO/CO(9 − 8) (black line) in the velocity interval Δvc. The intensities are calculated as a function of the kinetic temperature and the local density, assuming different abundances of o-H2O and beam filling factors. The uncertainties (30% in the absolute intensity and a factor of 2 for the line ratios) are represented with dotted lines. Upper right: the corresponding results for 12CO(9 − 8) (red solid line) and o-H2O/12CO in the velocity interval Δvr. Bottom: results for the o-NH3 observations in the velocity interval Δvc. No solutions are found for a lower beam filling factor.

This figure is made of several images, please see below:

Current usage metrics show cumulative count of Article Views (full-text article views including HTML views, PDF and ePub downloads, according to the available data) and Abstracts Views on Vision4Press platform.

Data correspond to usage on the plateform after 2015. The current usage metrics is available 48-96 hours after online publication and is updated daily on week days.

Initial download of the metrics may take a while.