Fig. 11

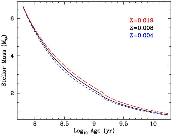
The age at which a star terminates the AGB is shown as a function of the initial main sequence stellar mass for three metallicities of 0.019 (long-dashed line, red), 0.008 (Solar metallicity; continuous line, black) and 0.004 (approximately LMC metallicity; short-dashed line, blue). The curves are derived from the stellar evolution tracks of Girardi et al. (2000).
Current usage metrics show cumulative count of Article Views (full-text article views including HTML views, PDF and ePub downloads, according to the available data) and Abstracts Views on Vision4Press platform.
Data correspond to usage on the plateform after 2015. The current usage metrics is available 48-96 hours after online publication and is updated daily on week days.
Initial download of the metrics may take a while.