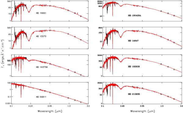
Fig. 1

Synthetic SEDs (in red) compared to flux calibrated + UBVJHK photometry for the target stars (in black). The distance, E(B − V) and luminosity were iterated to reach agreement between models and observations (see Sect. 4.1). For plotting purpose, the fluxes were scaled by a factor 1014 for all stars but HD 66811 and HD 210839, where factors 109 and 1013 were used, respectively.
Current usage metrics show cumulative count of Article Views (full-text article views including HTML views, PDF and ePub downloads, according to the available data) and Abstracts Views on Vision4Press platform.
Data correspond to usage on the plateform after 2015. The current usage metrics is available 48-96 hours after online publication and is updated daily on week days.
Initial download of the metrics may take a while.