Free Access
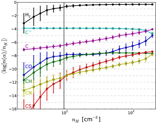
Fig. 9

Abundances of H2, C+, C, CO, CH, CS and CN versus total gas density nH. Data points are averaged in the same nH bins as in Fig. 6. The vertical line marks the position of the average molecular transition where ⟨ fH2 ⟩ = 2⟨n(H2)/nH⟩ = 1/2.
Current usage metrics show cumulative count of Article Views (full-text article views including HTML views, PDF and ePub downloads, according to the available data) and Abstracts Views on Vision4Press platform.
Data correspond to usage on the plateform after 2015. The current usage metrics is available 48-96 hours after online publication and is updated daily on week days.
Initial download of the metrics may take a while.