Free Access

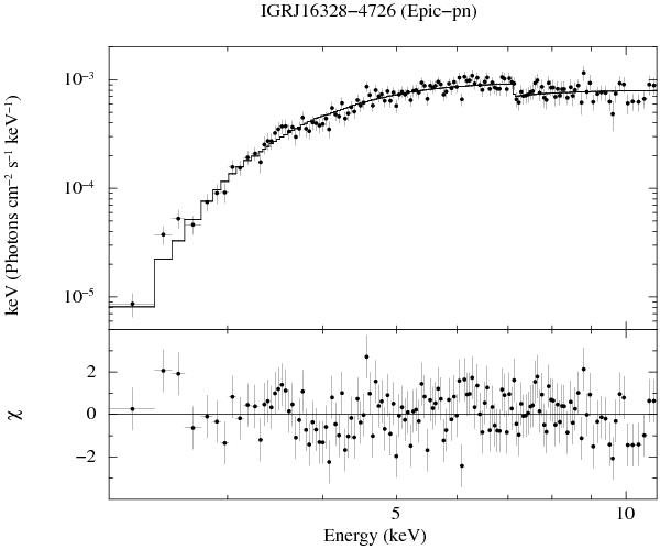
Fig. 5

thumbnail

Average XMM-Newton spectrum of IGR J16328−4726 extracted from the EPIC-pn data. The best-fit model is obtained with an absorbed power law (see text for details). The residuals from the fit are shown in the bottom panel.

Current usage metrics show cumulative count of Article Views (full-text article views including HTML views, PDF and ePub downloads, according to the available data) and Abstracts Views on Vision4Press platform.

Data correspond to usage on the plateform after 2015. The current usage metrics is available 48-96 hours after online publication and is updated daily on week days.

Initial download of the metrics may take a while.