Free Access

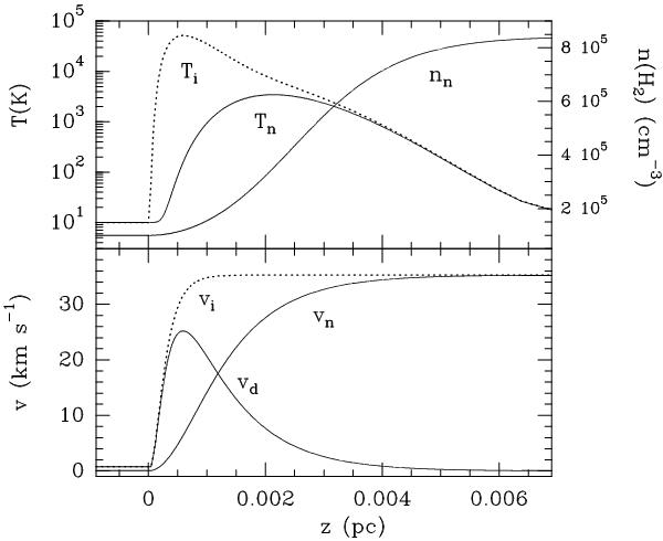
Fig. 1

thumbnail

Structure of a typical C-type shock from the parametric model of Jiménez-Serra et al. (2008). This model has a shock velocity of 40 km s-1, magnetic field strength of 450 μG, initial H2 density of 105 cm-3 and temperature of 10 K. The top panel shows the temperature of the ion and neutral fluids (Ti and Tn respectively) and the neutral gas density (nn). The bottom panel shows the ion and neutral fluid velocities (vi and vn) in a frame co-moving with the pre-shock gas, and vd is the velocity difference between the two fluids.

Current usage metrics show cumulative count of Article Views (full-text article views including HTML views, PDF and ePub downloads, according to the available data) and Abstracts Views on Vision4Press platform.

Data correspond to usage on the plateform after 2015. The current usage metrics is available 48-96 hours after online publication and is updated daily on week days.

Initial download of the metrics may take a while.