Free Access

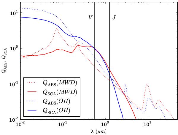
Fig. 12

thumbnail

The scattering and absorption efficiencies for the two dust models. The solid curves show the scattering efficiencies QSca for the MWD dust (solid red line) and the OH dust (solid blue line) that have been normalised to a value of 1.0 in the V band (0.55 μm). The dotted lines are the corresponding efficiencies for absorption, QAbs, that have been scaled with the same factors as the QSca values.

Current usage metrics show cumulative count of Article Views (full-text article views including HTML views, PDF and ePub downloads, according to the available data) and Abstracts Views on Vision4Press platform.

Data correspond to usage on the plateform after 2015. The current usage metrics is available 48-96 hours after online publication and is updated daily on week days.

Initial download of the metrics may take a while.