Free Access
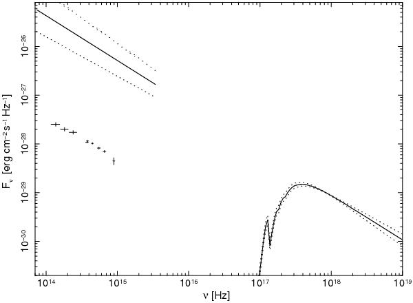
Fig. 7

Optical-to-nIR spectral energy distribution of PSR B0540−69 (points) compared with the PL model (Kaaret et al. 2001) best-fitting the Chandra X-ray spectrum (solid line) and its extrapolation in the optical domain. Dashed lines correspond to a 1σ uncertainty on the model parameters.
Current usage metrics show cumulative count of Article Views (full-text article views including HTML views, PDF and ePub downloads, according to the available data) and Abstracts Views on Vision4Press platform.
Data correspond to usage on the plateform after 2015. The current usage metrics is available 48-96 hours after online publication and is updated daily on week days.
Initial download of the metrics may take a while.