Free Access

Fig. 6

thumbnail

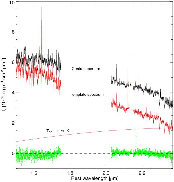
Fit of the NIR central spectrum of IRAS 01072+4954. The spectrum of the nucleus integrated over an aperture of r = 0.16″ is presented on top. The stellar and hot-dust fitted contributions are shown. They were modeled with the constructed stellar-template (middle spectrum) and a blackbody of T = 1150 K, respectively. Small spectral regions with spurious residuals were masked and replaced by the median of the values at their borders. The residuals of the fitting procedure are shown at the bottom with dots. The dashed line marks the zero flux.

Current usage metrics show cumulative count of Article Views (full-text article views including HTML views, PDF and ePub downloads, according to the available data) and Abstracts Views on Vision4Press platform.

Data correspond to usage on the plateform after 2015. The current usage metrics is available 48-96 hours after online publication and is updated daily on week days.

Initial download of the metrics may take a while.