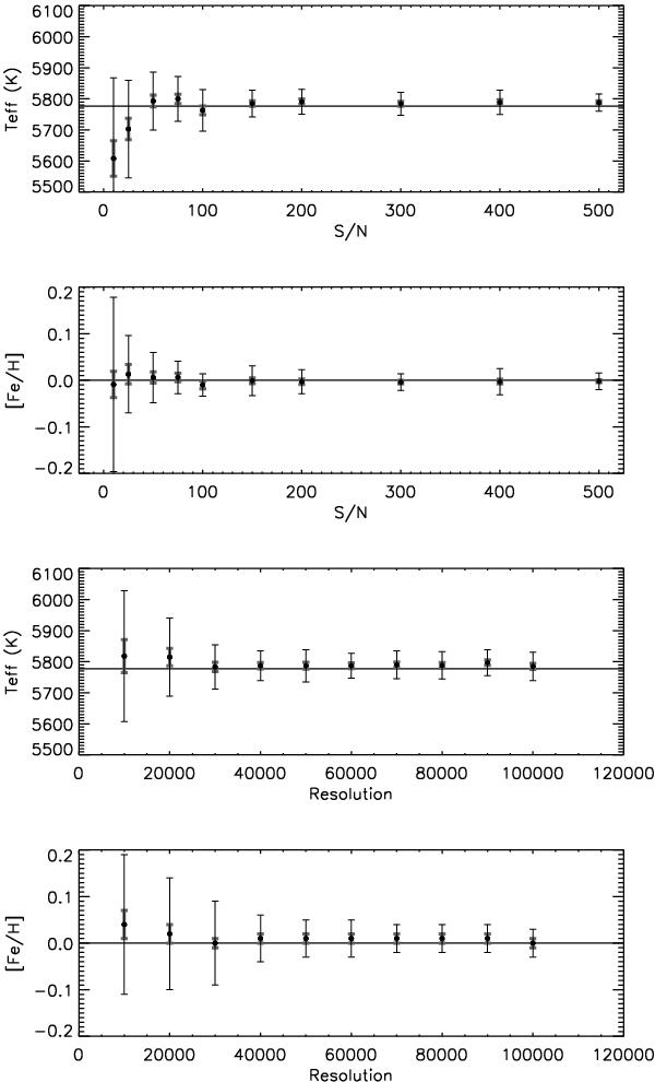
Fig. 8

Temperature and [Fe/H] determined using our calibrations for the simulated solar spectrum with different sets of resolutions and S/N. We show two different error estimations, the thin black error bars representing only the dispersion in the individual calibrations, and the thick grey error bar where we also take into account the number of individual calibrations used. See text for details.
Current usage metrics show cumulative count of Article Views (full-text article views including HTML views, PDF and ePub downloads, according to the available data) and Abstracts Views on Vision4Press platform.
Data correspond to usage on the plateform after 2015. The current usage metrics is available 48-96 hours after online publication and is updated daily on week days.
Initial download of the metrics may take a while.