Free Access

Fig. 5

thumbnail

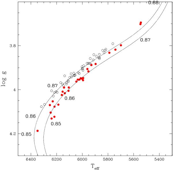
Distribution of the programme stars in the effective temperature-surface gravity plane. Symbols are as in Fig. 3. We overimpose two α-enhanced isochrones from the BASTI database (Pietrinferni et al. 2006), which were computed for [Fe/H] values appropriate to the two sequences ([Fe/H] =  − 1.22 and  − 1.17) and ages of 10.1 and 10.7 Gyr for b-SGB and f-SGB, respectively. Stellar masses along these isochrones are also given.

Current usage metrics show cumulative count of Article Views (full-text article views including HTML views, PDF and ePub downloads, according to the available data) and Abstracts Views on Vision4Press platform.

Data correspond to usage on the plateform after 2015. The current usage metrics is available 48-96 hours after online publication and is updated daily on week days.

Initial download of the metrics may take a while.