Free Access

Fig. 1

thumbnail

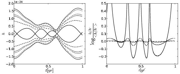
Left: envelopes of the GW signal (TDI X observable) for binaries with parameters of AM CVn, but for various inclinations as a function of time (innermost to outermost envelopes correspond to ι = 90°,60°,45°,40°,20°,0° respectively). The modulation of the signal is due to the complicated annual motion of eLISA around the Sun. For low inclinations (ι = 0°−45°), the signals only differ in amplitude, while the higher inclinations also differ in structure. To highlight this, we plot in the right panel the normalised ratio of the upper envelopes compared to the ι = 0° envelope using the same line styles (but now the ι = 90° is the outermost line). High inclination systems clearly have a unique structure, while low inclination envelopes only differ in amplitude, illustrating the degeneracy between ι and .

Current usage metrics show cumulative count of Article Views (full-text article views including HTML views, PDF and ePub downloads, according to the available data) and Abstracts Views on Vision4Press platform.

Data correspond to usage on the plateform after 2015. The current usage metrics is available 48-96 hours after online publication and is updated daily on week days.

Initial download of the metrics may take a while.