Free Access

Fig. 3

thumbnail

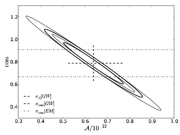
Two-dimensional error ellipses and cosι extracted from the variance-covariance matrix, , for HM Cnc. See Fig. 2 for details. The 1-σ EM constraint of 7° in inclination reduces the corresponding 1-σ uncertainty in from  ~1.22 × 10-23 to  ~0.89 × 10-23, roughly a factor of 1.4.

Current usage metrics show cumulative count of Article Views (full-text article views including HTML views, PDF and ePub downloads, according to the available data) and Abstracts Views on Vision4Press platform.

Data correspond to usage on the plateform after 2015. The current usage metrics is available 48-96 hours after online publication and is updated daily on week days.

Initial download of the metrics may take a while.