Free Access

Fig. 2

thumbnail

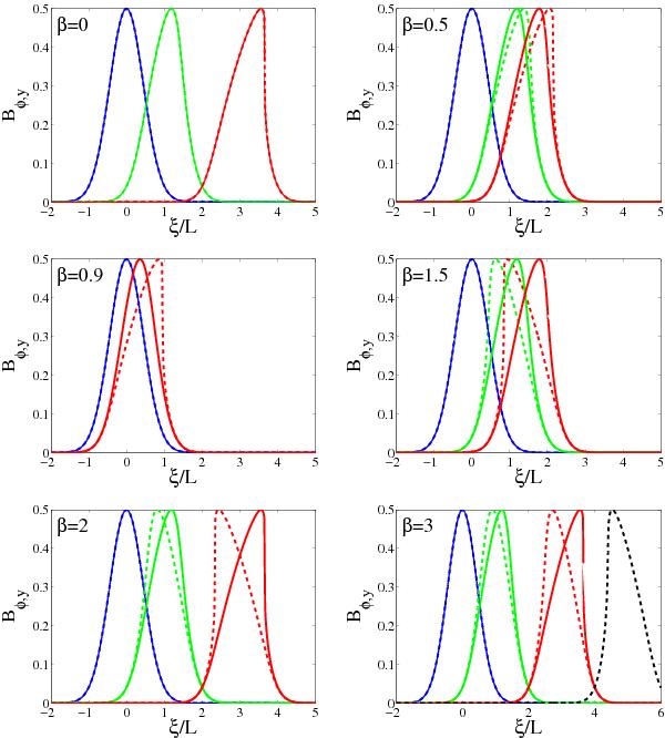
Snapshots of a Gaussian profile using Eq. (22) for the torsional Alfvén wave (solid lines), and Eq. (24) for the shear Alfvén wave (dashed lines), where Bϕ/Bz0 and By/Bz0 are plotted against the running coordinate ξ/L normalised to the initial length of the pulse. The value of the plasma-β is stated on each panel and the characteristic time is . The top, left panel represents the times and the top, right panel the times . The middle left panel is for the times , and the middle right panel the times . The bottom left panel is for the times , and the bottom right panel the times at .

This figure is made of several images, please see below:

Current usage metrics show cumulative count of Article Views (full-text article views including HTML views, PDF and ePub downloads, according to the available data) and Abstracts Views on Vision4Press platform.

Data correspond to usage on the plateform after 2015. The current usage metrics is available 48-96 hours after online publication and is updated daily on week days.

Initial download of the metrics may take a while.