Free Access

Fig. 5

thumbnail

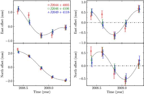
Parallax and proper motion data (markers) and a best-fitting model (dotted lines) that uses a combined estimate for the parallax and proper motion for the maser spot at the VLSR of 6.48 km s-1. Plotted are positions of the maser spot relative to the extragalactic radio sources J2044 + 4005 (circles), J2046 + 4106 (squares) and J2049 + 4118 (triangles). Left panel: eastward (upper panel) and northward (lower panel) offsets versus time. Right panel: same as the left panel, except the best-fitting proper motion has been removed, displaying only the parallax signature. (This figure is available in color in electronic form.)

Current usage metrics show cumulative count of Article Views (full-text article views including HTML views, PDF and ePub downloads, according to the available data) and Abstracts Views on Vision4Press platform.

Data correspond to usage on the plateform after 2015. The current usage metrics is available 48-96 hours after online publication and is updated daily on week days.

Initial download of the metrics may take a while.