Free Access

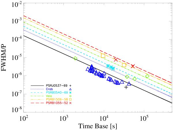
Fig. B.2

thumbnail

Comparison of the predicted FWHM of the χ2 distributions (lines) and the observed ones (symbols). All values were normalised using the pulsar period to be able to present all pulsars on the same diagram.

Current usage metrics show cumulative count of Article Views (full-text article views including HTML views, PDF and ePub downloads, according to the available data) and Abstracts Views on Vision4Press platform.

Data correspond to usage on the plateform after 2015. The current usage metrics is available 48-96 hours after online publication and is updated daily on week days.

Initial download of the metrics may take a while.