Free Access

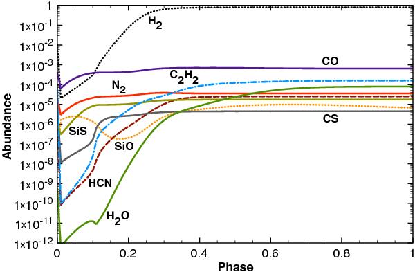
Fig. 3

thumbnail

Abundances (with respect to total gas) of the prevalent molecules shown in Fig. 2 as a function of phase θ at the shock formation radius rs. Destruction occurs at small values of θ but the molecules reform as the gas cools down.

Current usage metrics show cumulative count of Article Views (full-text article views including HTML views, PDF and ePub downloads, according to the available data) and Abstracts Views on Vision4Press platform.

Data correspond to usage on the plateform after 2015. The current usage metrics is available 48-96 hours after online publication and is updated daily on week days.

Initial download of the metrics may take a while.