Free Access

Fig. 13

thumbnail

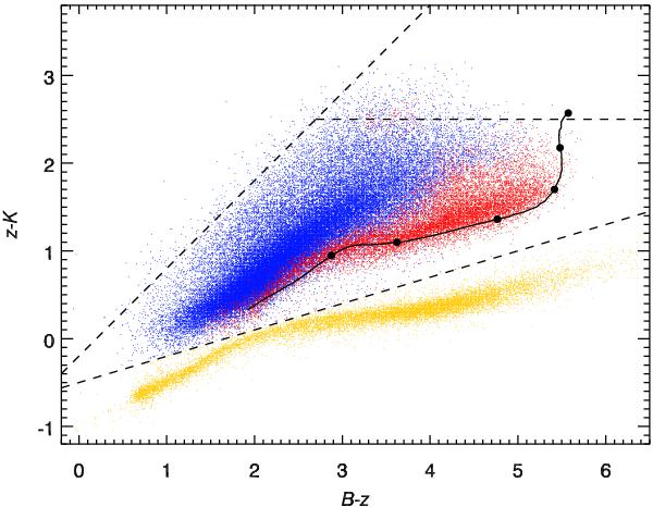
The BzK diagram for galaxies at z < 1.4. The galaxy population is split into two groups: red points for passive galaxies, and blue points for star-forming galaxies (separated using rest-frame MNUV − Mr colours). Only objects with Ks < 22 and a photometric redshift of z < 1.4 are shown. The black dashed lines show the cuts used by Daddi et al. (2004) to select z > 1.4 galaxies and stars, whilst the solid black line shows the model track for a passively evolving elliptical galaxy from z = 1.5 to z = 0. The filled black circles on this line are at intervals of Δz = 0.25, beginning at z = 0.25 and finishing at z = 1.5.

Current usage metrics show cumulative count of Article Views (full-text article views including HTML views, PDF and ePub downloads, according to the available data) and Abstracts Views on Vision4Press platform.

Data correspond to usage on the plateform after 2015. The current usage metrics is available 48-96 hours after online publication and is updated daily on week days.

Initial download of the metrics may take a while.