Free Access

Fig. 22

thumbnail

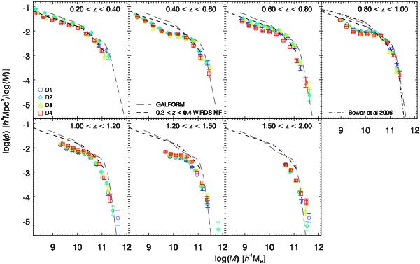
The observed mass functions are reproduced as in Fig. 19 (blue circles, green diamonds, yellow triangles and red squares for the D1, D2, D3 and D4 fields respectively), but now with the GALFORM results as comparison. The solid line in each redshift range shows the equivalent result in each redshift range based on the GALFORM simulation results, whilst the dashed line again shows the 0.2 < z < 0.4 WIRDS mass function repeated from the first panel. The dash-dot line in the 0.8 < z < 1.0 shows the original z = 1 mass function directly from Bower et al. (2006).

Current usage metrics show cumulative count of Article Views (full-text article views including HTML views, PDF and ePub downloads, according to the available data) and Abstracts Views on Vision4Press platform.

Data correspond to usage on the plateform after 2015. The current usage metrics is available 48-96 hours after online publication and is updated daily on week days.

Initial download of the metrics may take a while.