Free Access

Fig. 1

thumbnail

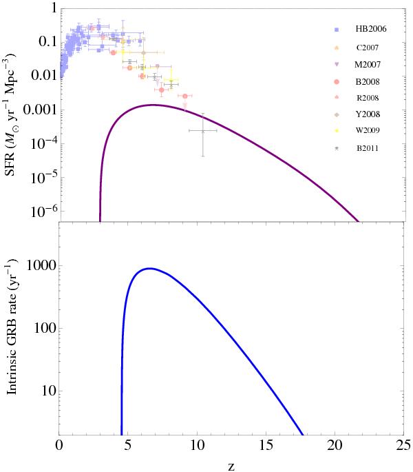
Top: optimistic model for Pop III.2 star formation rate (SFR) assuming a high star formation efficiency and low chemical enrichment. The light points are independent SFR determinations compiled from the literature. Bottom: intrinsic GRB rate dNGRB/dz, i.e., the number of GRBs per year on the sky (on-axis + off-axis) according to Eq. (2). This represents our optimistic model assuming a high star formation efficiency for Pop III.2, slow chemical enrichment, GRB formation efficiency of fGRB = 0.001 and a Salpeter IMF.

Current usage metrics show cumulative count of Article Views (full-text article views including HTML views, PDF and ePub downloads, according to the available data) and Abstracts Views on Vision4Press platform.

Data correspond to usage on the plateform after 2015. The current usage metrics is available 48-96 hours after online publication and is updated daily on week days.

Initial download of the metrics may take a while.