Free Access

Fig. 4

thumbnail

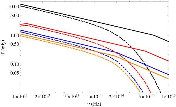
Example of a spectral energy distribution for observed GRBs with (dashed lines) and without (solid lines) extinction, assuming the SMC extinction law. We show the afterglow flux F(mJy) as a function of frequency ν (Hz) for typical parameters: isotropic kinetic energy Eiso = 1054 erg, electron spectral index p = 2.5, plasma parameters ϵe = 0.1, ϵB = 0.01, half-opening angle jet θj = 0.1, and interstellar medium density n = 1 cm-3. The black line represents θobs = 0, t = 0.5 days, blue line, θobs = 0, t = 5 days, red line, θobs = 0.05, t = 0.5 days, and orange line, θobs = 0.05, t = 5 days.

Current usage metrics show cumulative count of Article Views (full-text article views including HTML views, PDF and ePub downloads, according to the available data) and Abstracts Views on Vision4Press platform.

Data correspond to usage on the plateform after 2015. The current usage metrics is available 48-96 hours after online publication and is updated daily on week days.

Initial download of the metrics may take a while.