Free Access

Fig. 6

thumbnail

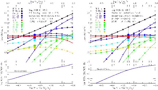
Left: CLOUDY photo-ionization model used to derive the pre-burst physical conditions and metallicity in the GRB 080310 host-galaxy ISM, assuming the extragalactic UV background radiation field at the GRB host-galaxy redshift. In the main panel, column density is plotted against ionization parameter U for a range of metal lines. The observations are shown as large data points, colour–coded by ion. The best-fit log U (and hence the best-fit density) and [Fe/H] are derived by matching the observed Fe iii/Fe ii ratio, as shown in the bottom panel. [C/H], [O/H], [Si/H], and [Cr/H] are determined by matching C ii, O i, Si ii, and Cr ii at the best-fit log U. Right: same as in the left panel but assuming the MW radiation field.

This figure is made of several images, please see below:

Current usage metrics show cumulative count of Article Views (full-text article views including HTML views, PDF and ePub downloads, according to the available data) and Abstracts Views on Vision4Press platform.

Data correspond to usage on the plateform after 2015. The current usage metrics is available 48-96 hours after online publication and is updated daily on week days.

Initial download of the metrics may take a while.