Fig. 4

thumbnail

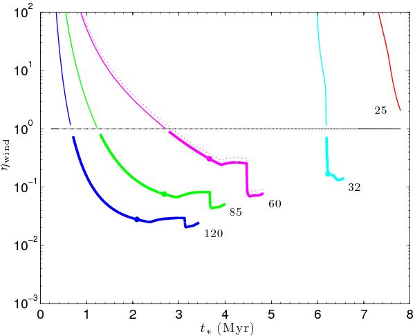
Thick lines show the acceptable model solutions, i.e. the values of t and ηwind for which the third generation stars have a solar 26Al abundance. By definition ηwind cannot be larger than 1. The filled circle shows for information the onset of the WR phase. The dotted line shows the 60   M model with ΔC = 0.5 Myr instead of 0.3 Myr (see text).

Current usage metrics show cumulative count of Article Views (full-text article views including HTML views, PDF and ePub downloads, according to the available data) and Abstracts Views on Vision4Press platform.

Data correspond to usage on the plateform after 2015. The current usage metrics is available 48-96 hours after online publication and is updated daily on week days.

Initial download of the metrics may take a while.