Free Access

Fig. 6

thumbnail

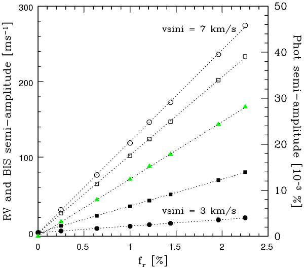
Semi-amplitude of RV (square), BIS (circle), and photometry (green triangle) as a function of the filling factor of the spot fr. Two different vsini at 3 and 7 km s-1 (filled and empty markers) are drawn. The photometry does not depend on vsini. All other parameters are fixed (cf. text). The dashed lines correspond to the best linear fits.

Current usage metrics show cumulative count of Article Views (full-text article views including HTML views, PDF and ePub downloads, according to the available data) and Abstracts Views on Vision4Press platform.

Data correspond to usage on the plateform after 2015. The current usage metrics is available 48-96 hours after online publication and is updated daily on week days.

Initial download of the metrics may take a while.